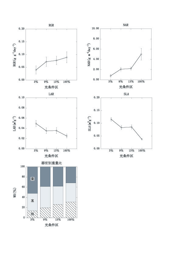
図18 異なる光条件下で栽培したアメリカセンダングサの生長解析結果

 

群馬大学荒牧キャンパス構内の裸地に設置した異なる光条件区(相対光量子密度3%、9%、13%、100%)内で、ポット植えした苗を4週間栽培した。相対生長速度(RGR)、純同化率(NAR)、葉面積比(LAR)、比葉面積(SLA)、器官別重量比(WR)を示す。縦棒は標準偏差。n= 13。