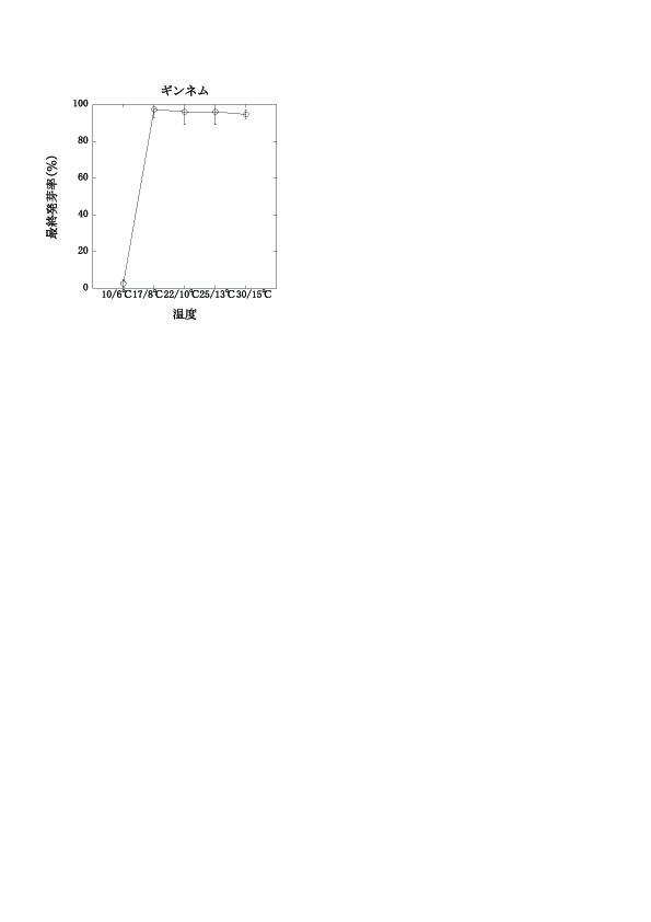
}14@ƒMƒ“ƒlƒ€‚ÌÅI”­‰è—¦ˆê——B

 

ŽíŽq‚ɗ⎼ˆ—‚ðŽ{‚³‚¸A‰·“xðŒ‚ð30/15ŽA25/13ŽA22/10ŽA17/8ŽA10/6Ži’‹/–éj‚Éݒ肵‚½‰·“xŒù”zŒ^P‰·Ší“à‚Å30“úŠÔ”|—{‚µ‚½Bc–_‚Í•W€•ηBn=3B